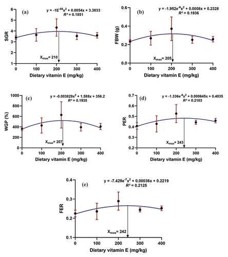
Vitamin E is one of the most important vitamins in aquatic animal breeding, larval growth, and development. It is also considered to be a functional feed addtitive for its antioxidant and immunity-improvement role resulting in better survival and growth during early life stages. However, the role of vitamin E in the diet of milkfish larvae has not been studied in detail. Moreover, the optimal requirement of vitamin E for improved survival and growth in the larval stages of milkfish is yet to be ascertained. A 45-day feeding experiment was conducted to elucidate the effect of dietary vitamin E (alpha tocopherol) supplementation on the growth, survival, and fatty acid composition of milkfish, Chanos chanos, larvae. During the trial, five isonitrogenous and iso-energetic (~580 g kg−1 crude protein, 120 g kg−1 crude lipid) experimental larval diets with varying levels of vitamin E 0 (control E0), 100 (E100), 200 (E200), 300 (E300) and 400 (E400) mg kg−1 were tested in 18 days posthatch larvae (mean weight: 48.25 ± 0.08 mg). Milkfish larvae (1,500) were randomly distributed into 15 fiber-reinforced plastic (FRP) rectangular tanks of 100 L capacity (n = 100) in a flow-through rearing system. The results revealed that larvae fed with a diet containing vitamin E supplementation at 200 mg (E200) enhanced (p < .05) the growth performance, final body weight (371.7 ± 12.80 mg), weight gain percentage (628.76 ± 63.12%), and specific growth rate (4.31 ± 0.80%) compared with the E0 fed diet. Also, fish feed with E200 diet had a significantly higher protein efficiency ratio (0.53 ± 0.08) than the control (E0) (0.40 ± 0.01).

Read Full Article